13867128415
数据验证
循环神经网络(RNN)及其变体(LSTM、GRU)
循环神经网络(RNN)及其变体(LSTM、GRU)
传统神经网络(如 CNN、全连接网络)的输入是独立的(无顺序关系),而 RNN 通过循环连接保存历史信息,使当前输出不仅依赖于当前输入,还依赖于之前的 “记忆”。
项目内容

一、基础 RNN:解决序列依赖的核心设计

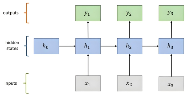
1. 核心思想:“带记忆的网络”

传统神经网络(如 CNN、全连接网络)的输入是独立的(无顺序关系),而 RNN 通过循环连接保存历史信息,使当前输出不仅依赖于当前输入,还依赖于之前的 “记忆”。例如:
  • 预测句子中下一个词时,需依赖前文已出现的词;
  • 预测股票价格时,需参考过去几天的价格走势。微信截图_20251017150048.png

2. 结构与数学原理

RNN 的基本单元(Cell)包含两个输入:当前时刻的输入\(x_t\)上一时刻的隐藏状态\(h_{t-1}\)(即 “记忆”),输出当前隐藏状态\(h_t\)和预测值\(y_t\)
  • 隐藏状态更新公式:\(h_t = \tanh(W_{xh}x_t + W_{hh}h_{t-1} + b_h)\)其中,\(W_{xh}\)是输入到隐藏层的权重,\(W_{hh}\)是隐藏层到自身的循环权重,\(b_h\)是偏置,\(\tanh\)是激活函数(将输出限制在 [-1,1])。
  • 输出层公式(以分类为例):\(y_t = \text{softmax}(W_{hy}h_t + b_y)\)
    <img src="https://i.imgur.com/RnOGz4q.png" alt="RNN结构展开图" width="500">微信截图_20251017150236.png

3. 局限性:长程依赖问题

当序列过长(如长句子、长时间序列),RNN 在反向传播时会出现梯度消失或梯度爆炸
  • 梯度消失:早期时刻的信息对当前输出的影响被 “稀释”,无法捕捉长距离依赖(如文本中 “前文提到的人物” 与 “后文代词” 的关联)。
  • 梯度爆炸:梯度值过大导致模型参数更新不稳定。
    这使得基础 RNN 仅能处理短序列,难以应对实际场景中的长序列任务。微信截图_20251017150338.png

二、LSTM(长短期记忆网络):解决长程依赖的经典方案

LSTM 通过门控机制(Gates)选择性地 “记忆” 重要信息、“遗忘” 无关信息,有效缓解了梯度消失问题,能够捕捉长序列中的依赖关系。

1. 核心结构:三个门控单元 + 细胞状态

LSTM 的 Cell 包含遗忘门输入门输出门细胞状态(Cell State),其中细胞状态类似 “传送带”,负责长期信息的稳定传递。
  • 细胞状态(\(C_t\):存储长期记忆,更新方式更平缓(避免梯度剧烈变化),公式为:\(C_t = f_t \odot C_{t-1} + i_t \odot \tilde{C}_t\)\(\odot\)表示元素相乘,\(f_t\)为遗忘门输出,\(i_t\)为输入门输出,\(\tilde{C}_t\)为候选细胞状态)
  • 遗忘门(Forget Gate):决定从细胞状态中 “遗忘” 多少历史信息,输出范围 [0,1](1 表示完全保留,0 表示完全遗忘):\(f_t = \sigma(W_f [h_{t-1}, x_t] + b_f)\)\(\sigma\)是 sigmoid 激活函数,\([h_{t-1}, x_t]\)表示拼接上一时刻隐藏状态和当前输入)
  • 输入门(Input Gate):决定将多少新信息存入细胞状态,包含两部分:
    1. 输入门控制:\(i_t = \sigma(W_i [h_{t-1}, x_t] + b_i)\)
    2. 候选细胞状态(新信息):\(\tilde{C}_t = \tanh(W_C [h_{t-1}, x_t] + b_C)\)
  • 输出门(Output Gate):决定从细胞状态中输出多少信息到当前隐藏状态\(h_t\)\(o_t = \sigma(W_o [h_{t-1}, x_t] + b_o)\)\(h_t = o_t \odot \tanh(C_t)\)
    <img src="https://i.imgur.com/8y2oD7Q.png" alt="LSTM结构示意图" width="500">(LSTM细胞结构:通过三个门控控制细胞状态的更新与输出)

2. 优势:长程依赖捕捉

通过细胞状态的稳定传递和门控的选择性过滤,LSTM 能保留序列中早期的关键信息(如一篇文章的主题),并在后续时刻有效利用这些信息,解决了 RNN 的梯度消失问题。
微信截图_20251017150558.png

三、GRU(门控循环单元):LSTM 的简化版

GRU 是 LSTM 的轻量化变体,通过合并门控单元减少参数数量,在保持性能接近 LSTM 的同时提升计算效率,更适合资源有限的场景。

1. 核心结构:两个门控单元 + 隐藏状态

GRU 取消了 LSTM 的 “细胞状态”,仅保留隐藏状态\(h_t\),并将 “遗忘门” 和 “输入门” 合并为更新门,新增重置门
  • 更新门(Update Gate):决定保留多少历史隐藏状态\(h_{t-1}\)和吸收多少新信息,输出范围 [0,1]:\(z_t = \sigma(W_z [h_{t-1}, x_t] + b_z)\)
  • 重置门(Reset Gate):决定如何将历史隐藏状态与当前输入结合生成新信息,输出范围 [0,1](0 表示完全忽略历史):\(r_t = \sigma(W_r [h_{t-1}, x_t] + b_r)\)
  • 隐藏状态更新
    1. 候选隐藏状态(新信息):\(\tilde{h}_t = \tanh(W_h [r_t \odot h_{t-1}, x_t] + b_h)\)
    2. 最终隐藏状态:\(h_t = (1 - z_t) \odot h_{t-1} + z_t \odot \tilde{h}_t\)
    <img src="https://i.imgur.com/Jn4XxHk.png" alt="GRU结构示意图" width="400">(GRU细胞结构:通过更新门和重置门控制隐藏状态的更新)

2. 优势:高效与平衡

GRU 参数比 LSTM 少约 1/3,训练速度更快,在多数序列任务(如文本分类、机器翻译)中性能与 LSTM 接近,是实际应用中的常用选择。

四、RNN 及其变体的应用场景

RNN、LSTM、GRU 均适用于序列数据,但因特性不同,适用场景略有侧重:
模型核心优势典型应用场景
基础 RNN结构简单,适合短序列简单时序预测(如短期气温预测)、字符级生成(如简单文本接龙)
LSTM长程依赖捕捉能力强机器翻译(需对齐长句)、语音识别(长语音序列)、情感分析(上下文依赖强的文本)
GRU高效轻量,性能接近 LSTM文本分类(如新闻主题划分)、推荐系统(用户行为序列)、实时时序预测
其他常见应用:
  • 时间序列预测(股票价格、电力负荷);
  • 自然语言处理(NER 命名实体识别、文本摘要、问答系统);
  • 视频分析(动作识别、帧预测)。
  • 微信截图_20251017150710.png

五、优缺点分析

1. 共同优点

  • 天然适配序列数据,能捕捉时序依赖关系;
  • 灵活性高,可处理变长序列(输入 / 输出长度可不同,如机器翻译中 “中→英” 句子长度不同)。

2. 共同缺点

  • 训练效率低:按时间步串行计算,难以并行化(与 CNN 的并行计算不同);
  • 对超参数敏感:学习率、隐藏层维度、序列长度等需仔细调优;
  • 仍受限于 “有限记忆”:虽缓解长程依赖,但极端长序列(如万字文章)仍可能丢失早期信息。

3. 模型间对比

模型参数数量训练速度长程依赖能力适用场景复杂度
基础 RNN简单
LSTM复杂
GRU中等

六、实现工具与框架

主流深度学习框架均支持 RNN 及其变体:
  • Python
    • TensorFlow/Keraslayers.SimpleRNNlayers.LSTMlayers.GRU(高层 API,易用性强);
    • PyTorchnn.RNNnn.LSTMnn.GRU(底层可控性高,适合定制化需求);
  • 其他MXNetJAX(支持高效并行训练)。
首页 数据采集 数据处理 联系我们